10 - Attention, Transformers, and Large Language Models
Class: CSCE-421
Notes:
These slides are based on Chapter 12 of Deep Learning: Foundations and Concepts
Example
I swam across the river to get to the other bank.
I walked across the road to get cash from the bank.
- Appropriate interpretation of 'bank' relies on other words from the rest of the sequence
- The particular locations that should receive more attention depend on the input sequence itself
- In a standard neural network, the weights are fixed once the network is trained
- Attention uses weights whose values depend on the specific input data

Notes:
- How do we deal with sentences-words?
- The meaning of a word sometimes depends on the context, this is the key idea that LLMs work around.
- Image you have a sentence like the above
- I will somehow process and match each of these words into a vector
- The vector needs to be of the same dimension of course
- Then you will have a sequence of vectors, with each vector representing a word, then you will produce a sequence of vectors as outputs, and you will do this in many layers.
- The key operation is that you have a sequence of words, equivalent to a sequence of vectors and you can transform this into a sequence of vectors as output.
- I will somehow process and match each of these words into a vector
- We want to transform from the input vectors to the output vectors
- The number of words in this unit cannot change!
- If you have 10 vectors as input, your output will be 10 vectors
- Across different layers, the number of layers can change but the number of vectors cannot.
- The key idea here is: if the input vectors are given, how do we get the output vectors?
- If you want this vectors to capture semantics, what do we need to do?
- The vector for a specific word has to deppend in many input vectors
- To compute each of these output vectors will depend on all of the input vectors
- Each of the output vectors will be a linear combination of the input vectors
- Which one is more important? we do not worry about that, that is learnt in training.
- This is the idea of Attention: pay different attention to different inputs with different weights
- First how can we convert a word into a vector?
- The first layer needs to convert each of the words into a vector
- This layer is called the embedding layer
- There is a very simple way: one-hot representation
- Lets say there are 50,000 words in English, now you have a vocabulary, each word has an index in that vocabulary (a fixed number in that vocabulary), then you can convert each of this words into a vector of 50,000 thousand dimensions, with the single index entry corresponding to the word is 1, and all the other entries are 0.
- Note each vector will correspond to a word, and therefore the number of vectors cannot change
- But your network needs to be able to take different input sizes
- Most discussions: given a sequence of vectors, how do you produce another sequence of vectors. This is also called Attention
Neural language and word embedding
- Convert the words into a numerical representation that is suitable for use as the input to a deep neural network
- Define a fixed dictionary of words and then introduce vectors of length equal to the size of the dictionary along with a 'one hot' representation for each word
- The embedding process can be defined by a matrix E of size
where is the dimensionality of the embedding space and is the dimensionality of the dictionary. - For each one-hot encoded input vector
we can then calculate the corresponding embedding vector using
- Word embeddings can be viewed as the first layer in a deep neural network. They can be fixed using some standard pre-trained embedding matrix, or they can be trained
- The embedding layer can be initialized either using random weight values or using a standard embedding matrix
Notes:
- Understand the equation:
is a one-hot representation vector of the word. (Each of these words are a one-hot vector) The dimension of this vector is the number of words in the vocabulary. - One location that has a value of 1, and every other location has a value of 0.
- You can use it but this might not be a good representation, just because it is a extremely long vector containing all 0s but a 1.
- What you do is multiply the matrix
( ). - Remember matrix multiplication is a linear combination of columns
- By far the most important operation in linear algebra matrix-vector multiplication
- You multiply each element on the vector to each of the columns and sum them together.
- You basically take a particular column of this matrix because all entries on
are 0, except for the word entry. - You are basically converting a long vector into a shorter vector
is learned, and is called the embedding matrix.
- The output will be
, it is the vector that we used as the input to the next layer for process. - This is nothing but a fully connected network thanks to a matrix multiplication, we are applying a fully connected network to every location of the input (every word vector) - one applied for each word separately.
- A little bit more context:
- Imagine you have the previous sequence of words. Intuitively your first step is to convert each word into its one-hot English representation.
- You will then have
- Then your output vectors would look like:
- You will then have
- The operation in between is matrix-multiply with
. - But what is this operation in terms of neural networks? (use neural network terminology - not mathematically)
- It is forward propagation? yes
- We are talking about a fully connected layer? yes, but there is something else...
- This is nothing but a neural network layer that you already know
- But what else is
? - You have one fully connected layer that is shared across all the words, it is a single
. - A fully connected network
- The key is that the same network is applied to each of the input vectors.
- This is simply a fully connected layer but shared among all the input vectors.
- You have one fully connected layer that is shared across all the words, it is a single
- But what is this operation in terms of neural networks? (use neural network terminology - not mathematically)
- Imagine you have the previous sequence of words. Intuitively your first step is to convert each word into its one-hot English representation.
- Exam question: Explain the embedding layer from a neural network point of view.
- -> fully connected layer shared among all the input vectors
- But this is just the first layer!
Transformer processing
The input data to a transformer is a set of vectors
- Combine the data vectors into a matrix X of dimensions
in which the th row comprises the token vector , and where labels the rows - A Transformer takes a data matrix as input and creates a transformed matrix
of the same dimensionality as the output - We can write this function in the form
/CSCE-421/Ex2/Visual%20Aids/image-27.png)
Notes:
- This is the data in a particular layer
- For now, think of each token as a word.
- If you have 5 words, you will have 5 vectors in the matrix X
- We need to be able to take this X matrix and transform it into
- Inside this layer the vectors have to be the same dimensions, otherwise we can not put this into a matrix.
- So now the question is given a matrix, how can we produce a new matrix.
Attention coefficients
- Map input tokens
to - The value of
should depend on all the vectors - Dependence should be stronger for important inputs
- Define each output vector
to be a linear combination of :
where
Commonly used coefficients
We have a different set of coefficients for each output vector
Notes:
- input sequence: x1,...,xn (each of these is a vector)
- the number of vectors cannot change
- output sequence: y1,...,yn
- each of these outputs depend on all the input vectors
- (will be a linear combination of each of the input vectors)
- More important ones will be given a larger weight, less important ones are given a smaller weight.
- Note
is just in linear combination with for a particular - This is a coefficient, and summing all of them will give 1.
- The whole idea here is that through this entire network the number of vectors will not change.
- Attention is basically is how to get
- We are trying to compute
because if we can do this for one vector, we can do it for all of them - All we need is
where
- All we need is
- Lets say we are computing this coefficient, how?
- You will take your
and take its product with each of the - The output will sum to 1, and every coefficient will be between 0 and 1.
- You will take your
- We are trying to compute
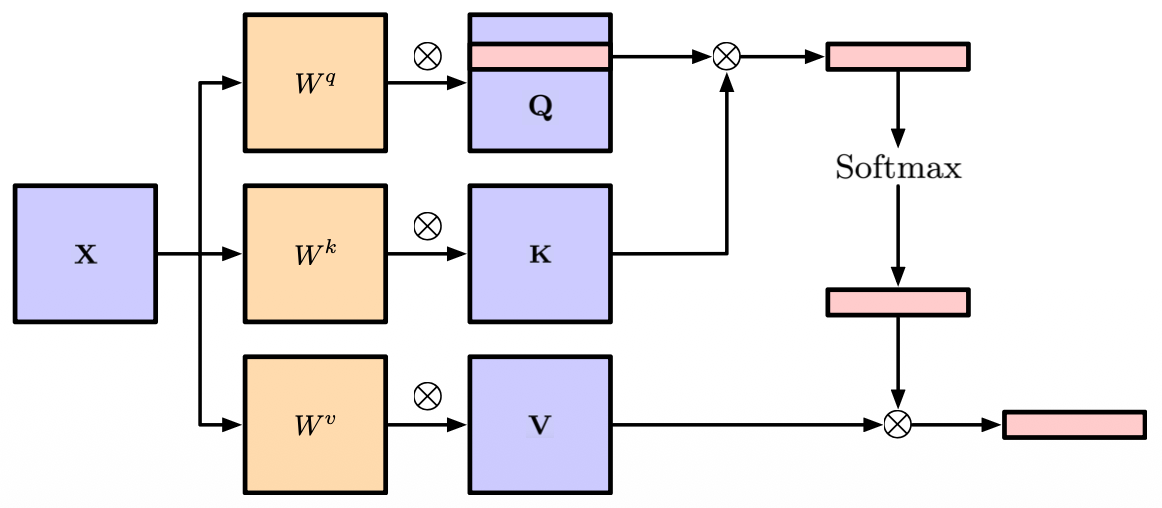
Attention in general (cross attention) - IMPORTANT
- Use of query, key, and value vectors as rows of matrices Q,K,V
/CSCE-421/Ex2/Visual%20Aids/image-28.png)
Notes:
- We are defining a more general attention operation, for this we introduce the general Q, K, V.
- Attention: In the most general case, the attention operation will take 3 sequences of vectors as inputs and produce 1 sequence of vectors as output.
- Q (sequence of vectors)
- K (sequence of vectors)
- V (sequence of vectors)
- Self attention:
- Where Q = K = V = X (generally)
- You can always give Q, K, V the same things, but you are better giving something more useful
- The question is: How to produce one vector in the output.
- You take an arbitrary row in Q, and produce a sequence of vectors for that row.
- We will take the pink vector in Q, then do an inner product of this vector and each rows of K,
- Then this vector is passed through Softmax to get another vector (converting to
[0,1]and sum to 1).- It turns out if you give Q, K, V the same x, this will be just 1.
- Then you again do an inner product of this vector with all rows on V to get the final one vector sequence.
- Question: The sizes of Q, K, V cannot be arbitrary, otherwise these operations won't work. But in general they do not have to be exactly the same size, but there has to be some kind of constraint for this to work.
- The inner product is matrix multiplication of K^T so we need the same number of columns on Q and K.
- Not necessarily same number of rows because we are either way takin each row on Q and inner product it with each row on K. They do not necessarily need to match.
- Size of the cross vector will equal to the number of rows in K.
- Softmax will not change the size.
- K and V need to have the same number of rows, in order for each number to have a cross product.
- The inner product is matrix multiplication of K^T so we need the same number of columns on Q and K.
- Question: How about the size of this output vector sequence?
- We want to know how the size of the output relates to the size of the input
- We will put this sequence of vectors into a matrix.
- We want to know how many vectors are produced, and what is the size of each vector
- The number of columns of each vector in this sequence needs to be the same as the number of columns in V.
- Dimensions haves to equal in order to do the cross product
- Now how many vectors?
- The number of rows in Q?
- We want to know how the size of the output relates to the size of the input
- Question: If we permute rows in certain way, how the output will be changed?
- Rows will also be permuted, because each row will be computed separately.
- Moving a row in Q will just move the row in the output sequence.
- What kind of property is this?
- If you swap certain row, is equivalent to swapping certain words!
- This is called permutation equivariance
- It has a very important consequence in language models
- If you change the order of the inputs, it will change the order of the outputs.
- In natural languages this is not desired, because different order of words mean different things, so we need to do something else?
- An answer will just be a permuted version of a prompt, which is not what we want.
- Question: What happens if we permute the rows in K and V (they have the same number of rows) using the same permutation, how the output would be changed?
- It won't change!
- It would only change if we permute one of them without permuting the other one.
- This is because we use the a vector of Q to compute each of the cross products for each vector in K, since we have the same order in V because we also permuted it as K, then everything will remain the same.
- Note the most common case of this setup is for each of these Q, K, V to be the same matrix
- This is called the self potential.
- If my X is permuted, all of the Q, K, V will be permuted the same way
- This means that the output will change because of Q being permuted
- But the output remains in that way (after being permuted by Q) when applying K and V (those do not change the output).
- There is still a little bit something we need to do before, but for now this is the model
- Do you think this will work in LLMs as of right now? NO
- We haven't learned anything, we cannot train yet!
- But there is a small step to make it work, we need to introduce some learning parameter.
- Do you think this will work in LLMs as of right now? NO
- We can put all of this operations into a Matrix Form!
General attention in matrix form
- The attention computes
where Softmax
- Whereas standard networks multiply activations by fixed weights, here the activations are multiplied by the data-dependent attention coefficients
/CSCE-421/Ex2/Visual%20Aids/image-30.png)
Notes:
- This is by far the most common Attention equation. It is a key operation you need to know for Language Models
- We take one row in the Q matrix and compute the inner product with each of the columns in K, this is represented by
. - Q is a row vector and K is a column vector
- Inner product between one row in Q and all rows in K
- After softmax of this you still have a row vector of the same size.
- Then you multiply with matrix V, which is the same as doing the linera combination of each row
- People sometimes call this cross-attention
Self-attention without parameters
- We can use data matrix
as , along with the output matrix , whose rows are given by , so that
where Softmax
- This process is called self-attention because we are using the same sequence to determine the queries, keys, and values
- The transformation is fixed and has no capacity to learn
Notes:
- This is a special case where KQV is XXX (all of them are the same X matrix)
- This is called slef-attention
- But we need to somehow introduce some learnable parameters in the network
Self-attention with parameters
- Define
governs the dimensionality of the output vectors - Setting
will facilitate the inclusion of residual connections
/CSCE-421/Ex2/Visual%20Aids/image-31.png)
Notes:
- Note the right part is just the general attention operation
- Note you only have one X matrix
- What we will do is that for X to Q you multiply X with that matrix, and the results will be Q
- For K you multiply X with another matrix W
- Similarly you get V by multiplying X by a matrix W
- These three W matrices are different ad completely independent, and these are the parameters of the network.
- In this case you do not need to worry about dimension, it will automatically match.
- The size of QKV will depend on the sizes of your W matrices
- What do we need to do to setup this constraint on the network so that we have matching sizes?
- We need to ensure the number of columns between these two matrices are the same
- When you multiply two matrices AB, you need to make sure the number of columns on A, needs to be the same as the number of rows on B
- For example A (m * n) B (n * p) = C (m * p)
- So we have to match number of columns! That is correct but still is too restrictive, we can go finer than this!
- Do we need to worry about the same number of rows?
- No, we do not need to worry, we do not have a choice
- Otherwise the dimensions will not match
- For example A (m * n) B (n * p) = C (m * p)
- The only thing you need to worry about in this case is that the number of columns of Q and K matrices have to be the same.
- Note the dimension (k) refers to the same number of (k) columns
Comparison of Cross and Self Attention
/CSCE-421/Ex2/Visual%20Aids/image-32.png)
Notes:
- Note on self-attention you have only one matrix as input, your X matrix
- You multiply this matrix with the 3 W matrices, once you do that, you get QKV
- Then you follow the path of the general attention operation
- In cross attention you have more than one input matrix
- The only thing you need to worry about here is that the attention operation will be exactly the same, and the output is a single matrix but here you have multiple input matrices
- You use X1 to derive Q and V
- You use X2 only to derive K
- So attention itself is identical but number of inputs can change
- Remember so far we are just taking a sequence of vectors and producing another sequence of vectors, that is attention
- Later you will see how this evolves in encoder/decoder architectures, but sometimes this is the only thing we need
Dot-product scaled attention
- Let
denotes the -th element of , we have : small for inputs of high magnitude - If the elements of the query and key vectors were all independent random numbers with zero mean and unit variance, then the variance of the dot product would be
- Normalize using the standard deviation
/CSCE-421/Ex2/Visual%20Aids/image-33.png)
Notes:
- The attention we have talked about so far is: softmax(QK^T)V
is the number of columns in Q and K: You can set it to be a very small or large number - Depending on how this learns, values in the inner product could be very large, sometimes a small number of a large number, therefore we need to normalize this.
- This equation is by far the most final attention equation -> scaled.
Multi-head attention
- Suppose we have
heads indexed by as
- Define separate query, key, and value matrices for each head using
- The heads are first concatenated into a single matrix, and the result is then linearly transformed using a matrix
as
- Typically
is chosen to be equal to so that the resulting concatenated matrix has dimension
/CSCE-421/Ex2/Visual%20Aids/image-34.png)
- Y is exactly the same size of x because we want to use a residual connection
Notes:
- How this works is like this:
- You have the attention operation, the output is
- Here we only have on set of input, and by default we talk about self-attention
- Input is X
represents height
- You need to apply self attention multiple times
- Since you only have one X, you use completely 3 different matrices (
) and multiply them one by one by the X matrix.
- Since you only have one X, you use completely 3 different matrices (
- We have multiple outputs now, how do we deal with the output matrix? (we applied
three times) is a matrix, you somehow put the result together in a meaningful way, lets say you concatenate them, how do you do that? - There is only one way you can do this
- Out constraint is that we have a sequence of vectors as input and a sequence of vectors as output, and the output number of vectors cannot chaange, because each word represents one vector.
- The onyly way to do this correctly is to concatenate them is to do:
- This is because the number of rows (number of vectors) cannot change
- This may reduce or change the number of columns, but the number of rows remains the same
- The output will be multiplied by another matrix
- This controls the number of columns we want
is the size of the X matrix, is the number of heads
- You have the attention operation, the output is
- Most time what we try to do is that we have attention just being a layer of our network, our next step is to build a block:
- attention layer
- normalization layer
- skip connection
- So what we want to do is that we want to still have a skip connection
- In order to do that, is that if our attention in this block is multi-head (did it 3 times) each time we will produce a matrix with the same number of rows and some number of columns
- What we will produce is
- This whole thing together has the same dimension as our input
- At the end we need to make sure these two maps produce matrices or feature maps of the same size
Question: Why are we doing this multi-head attention?
- Lets say we use two heads, therefore we have 6 matrices, for Q we have two matrices W1(q) and W2(q)
- Two ways to do attention with 2 heads:
- Traditional:
- Do attention twice and have 6 different
matrices
- Do attention twice and have 6 different
- More columns:
- Make
- Now wea re doing attention once but with an extended Q with more columns
- Will this produce the same result?
- The only reason these are different is the softmax
- If you reduce the softmax operation from the traditional way you get the same thing!
- The reason: all of this operations are linear, you just make everything longer
- Make
- Traditional:
- Therefore using
, ... is equivalent to
The most common version of attention is the dot product scaled multi-head self attention.
Transformer layers
- Stack multiple self-attention layers on top of each other
- Introduce residual connections and require the output dimensionality to be the same as the input dimensionality, namely
- Followed by layer normalization to improves training efficiency
- Sometimes the normalization layer is applied before the multi-head self-attention as
/CSCE-421/Ex2/Visual%20Aids/image-35.png)
Notes:
- This is essentially a layer (just like a convolutional layer)
- Our input is scaled x (sequence of vectors), and again we will have a sequence of vectors y with the same size (same number of rows)
- We apply multi-head self-attention (the most commonly used)
- Why are we doing LayerNorm?
- Think of images, when we train convolutional networks we have this idea of mini-batches, you give some number of images as input
- When we train language models, we train them with multiple sentences
- Each time you give multiple sentences
- You cannot do batch norm because each sentence may have different length, the number of words may not match
- LayerNorm is to normalize each sample by itself (not across different sentences that may have different length)
- After multi-head attention you will add X to it, then you do layer normalization, this will give you Z.
- In practice people have found out that layer normalization can be applied to the given X, and after apply attention
- This is called pre-norm attention -> normalization moved forward one step
- Eventually your network is a set of many layers, it is just a matter where to apply normalization, and people find out that applying normalization before attention has worked better
- But so far we have only talked about how to get Z
MLP in Transformer layers
- The output vectors are constrained to lie in the subspace spanned by the input vectors and this limits the expressive capabilities of the attention layer
- Enhance the flexibility using a standard nonlinear neural network with
inputs and outputs - For example, this might consist of a two-layer fully connected network with ReLU hidden units
- This needs to preserve the ability of the transformer to process sequences of variable length
- The same shared network is applied to each of the output vectors, corresponding to the rows of Z
- This neural network layer can be improved by using a residual connection and layer normalization
Transformer layers
- The final output from the transformer layer has the form
- Again, we can use a pre-norm as
- In a typical transformer there are multiple such layers stacked on top of each other
/CSCE-421/Ex2/Visual%20Aids/image-35.png)
Notes:
- In transformers there is another block called MLP
- This is the Multi-Layer Perceptron (A multi-layer network)
- Again we might use pre-norm, it is similar to the previous block were we used it before applying attention
- But the question is how is MLP applied?
- All we have in Z is a sequence of vectors, how do we apply an MLP of that matrix?
- We treat rows of Z as vectors
- We need to make sure our network can process vectors of any length because the number of words might be different for each row
- Basically we need to apply a single MLP into each of the vectors in Z
- (we have the same multi-layer network applied to each vector on the sequence Z)
- So we apply MLP per row!
- You can see transformers by themselves is just sequence of vectors as input -> sequence of vectors as output of the same size!
- Just by using this in slightly different way we can build different language models but this is the fundamental model!
Positional encoding
- The transformer has the property that permuting the order of the input tokens, i.e., the rows of
, results in the same permutation of the rows of the output matrix - equivariance - The lack of dependence on token order becomes a major limitation when we consider sequential data, such as the words in a natural language
- 'The food was bad, not good at all.'
- 'The food was good, not bad at all.'
- Construct a position encoding vector
associated with each input position and then combine this with the associated input token embedding - An ideal positional encoding should provide a unique representation for each position, it should be bounded, it should generalize to longer sequences, and it should have a consistent way to express the number of steps between any two input vectors irrespective of their absolute position because the relative position of tokens is often more important than the absolute position
Notes:
- If you do not use anything to encode location, a permuted input will give you a permuted output
- In positional encoding we add some columns to X which will not pass through the attention layer, it will only be used to encode the location
- Then a permuted input will not change the output
- Companies all do it diferently but this is the goal -> achieving equivariance
Language models: Narrow sense
- Language models learn the joint distribution
of an ordered sequence of vectors, such as words (or tokens) in a natural language - We can decompose the distribution into a product of conditional distributions in the form
- We could represent each term by a table whose entries are estimated using simple frequency counts
- However, the size of these tables grows exponentially with the length of the sequence
Notes:
- This is the second equation you need to know apart from attention with normalization
- The key here is like this:
- Language Models can only do one thing: learn the joint distribution p(x1, ..., xN), it basically just tells you a number
- The probability tells you how likely this sequence is valued the same?
- This is essentially the product rule of probability
- You only need to know two rules of probability: sum rule and product rule
- This tells us:
- And:
- Take a sequence of words as input and produce a probability as output -> this is basically a language model.
- They use the product rule to write this probability as the product of the probabilities given
- What is the probability of this word given all previous words
- Note each x is discrete, it is just a discrete variables with many different possible values
- A conditional probability with discrete variables
- How can we model this?
- These are all discrete, so all we need to do is to have a table
- The probability of the next word is a discrete distribution
- You need to estimate the probability of each word in the vocabulary
- So how many probabilities are there? How many numbers to estimate? (i.e. size of vocabulary = 50,000)
- 50,000 - 1 because the probability needs to sum to 1.
- How many possible fixed values are here?
- 50,000^(n-1)
- 50,000^(n-1) * (50,000 - 1)
- General:
- where
is the size of the vocabulary
- Turns out this is a very difficult task
- There a lot of parameters, we need to reduce them
- Reduce dependencies between words
- They use the product rule to write this probability as the product of the probabilities given
n-gram model and LLMs (Courtesy R. Kambhampati)
- We can assume that each of the conditional distributions is independent of all previous observations except the
most recent words, : bi-gram; : tri-gram; : n-gram - If
, we have
- What if
? - The size of the probability tables grows exponentially in
- A 3,001-gram model (like ChatGPT) learns to predict the next word given the previous 3,000 words
- When
, need conditional distributions, with many zeros - LLMs compress/approximate this gigantic table with a function
- Although LLMs have billions of parameters, they are small compared to the size of table
- LLMs Look at everything we say as a prompt to be completed
Notes:
- The reason we reduce the parameters is because we have exponential complexity
- Exam: IF I do a model like this, how many paramters to estimate?
- We just need to change the
to
- Only a tiny fraction of this huge number of possibilities are actually valid
- Only a tiny piece of the previous sequence of words is valid
- So we need to have a better way of doing this
- All we try to do is to predict the next token! This is how all of the AI chats out there work!
- To model this conditional distribution you need to draw a table and the number of rows is a conditional probability, the number of rows grows exponentially
- The idea her is that for each x, they will not depend on all previous x, but in the most previous recent ones.
- For example in GPT the context length was 3000, it is very hard to extend this table for longer context
Language models: Broad sense
- Encoder only: In sentiment analysis, we take a sequence of words as input and provide a single variable representing the sentiment of the text. Here a transformer is acting as an 'encoder' of the sequence
- Decoder only: Take a single vector as input and generate a word sequence as output, for example if we wish to generate a text caption given an input image. In such cases the transformer functions as a 'decoder', generating a sequence as output
- Encoder-Decoder: In sequence-to-sequence processing tasks, both the input and the output comprise a sequence of words, for example if our goal is to translate from one language to another. In this case, transformers are used in both encoder and decoder roles
Notes:
- By far the Decoder model is the most important one
Decoder transformers I
- Focus on a class of models called GPT which stands for generative pretrained transformer
- Use the transformer to construct an autoregressive model in which the conditional distributions
are expressed using a transformer - The model takes as input a sequence consisting of the first
tokens, and its corresponding output represents the conditional distribution for token - Draw a sample from this distribution then we have extended the sequence to
tokens and this new sequence can be fed back through the model to give a distribution over token
Notes:
- How can we use a transformer block to do this:
? - If I give you an attention block or a stack of as many blocks as you want, how can we use that to model this?
- People have tried to use a table to truncate it
- Note GPT stands for Generative Pretrained Transformer
- Note this is 50,000 classification problem, essentially this is a multi-class logistic regression problem
- You need to build a classifier to predict your next word
- What is our input?
- The number of input vectors is different for each
- So the number of vectors as output needs to be different
- Maybe we can just sum them to produce a single vector of fix length
- Generative = prediction model = multi-class classification model
- The underlying model is not necessarily a "generative" model, it is just a prediction model.
- Later we will see what a "generative" model really is
- But people refer to this so far as "generative".
- We have this model:
- This model can have any number of inputs
- Pass through attention transfomer
- Get vectors as output
- Sum them together to get a single vector
- Visual:
- x1, x2, ..., xn-1 -> T -> y1, y2, ... -> (+) -> single vector
- Note the number of our images cannot be larger in convolutional networks, but here you just need some sentences to train it, you do not need labels!
- You can just use text to train this model, since it will just predict the next words
- What happens when you provide the following sentence as input: "I can swim"
- You start with "I", to predict the next word, then you give "I can", then you do "I can swim"
- But how can we make it pass instead of passing each word individually every time and repeating the previous words?
- Once we solve this, this is just chatGPT!
- This is what we are going to do:
- We will not pass vector by vector (word by word), we will pass all vectors at the same time.
- Then out of this big pass you will have some output vectors, then what can we do?
- Basically two things:
- Note each output vectors depends on the input vectors, so you need to make sure that the output vector for a corresponding input vector only depends on that vector and the vectors before it (since we need to predict the next word given the previous words)
- So somehow we need to modify attention so that a vector depends only on the vectors before it
- Then we will build cross entropy loss on top of each of the output vectors, then there will be a truce label that should be
which is jut the next token (you just shift by one location).
- Note each output vectors depends on the input vectors, so you need to make sure that the output vector for a corresponding input vector only depends on that vector and the vectors before it (since we need to predict the next word given the previous words)
- Goal: given a sentence, we want to process that sentence in one shot.
- The way to do that is to:
- for each location, take a vector, build a multi-class logistic regression on top of that vector.
- Somehow we need to modify attention so that every vector depends on the previous one
- The output needs to be shifted by one location, because you always want to predict the next vector
- The way to do that is to:
|X| Decoder transformers II
- The GPT model consists of a stack of transformer layers that take
as input and produce - Each output needs to represent a distribution over the dictionary with dimensionality
whereas the tokens have a dimensionality of - Make a linear transformation of each output token using a matrix
of followed by a softmax as
where
- Each softmax output unit has an associated cross-entropy error function
...
Decoder transformers: casual language modeling
I swam across the river to get to the other bank.
- First, we shift the input sequence to the right by one step, so that input
corresponds to output (predicted prob of ), with target - Tokens interact only via attention weights
- Second, use causal (masked) attention, in which we set to zero all of the attention weights that correspond to a token attending to any later token in the sequence (red) and then normalize the remaining elements
/CSCE-421/Ex2/Visual%20Aids/image-37.png)
Figure 12.16 An illustration of the mask matrix for masked self-attention. Attention weights corresponding to the red elements are set to zero. Thus, in predicting the token 'across', the output can depend only on the input tokens '<start>' 'I' and 'swam'.
Notes:
- Note the white squares are non-zeroes and the red squares are zeroes
- "river" depends on all words
- "the" only depends on
<start>, "I", "swam", "across" - and so on...
- When people talk about causal attention this is what we are talking about, a decoder model with the attention putting one section of the matrix to zeroes so that all vectors depend only on the previous ones
- For example:
- You want to predict "across"
- Input: swam
- Output: across
- The output depends only on
<start>, "I", and "swam".
- You want to predict "across"
- Do not use mask attention yet.
Decoder transformer architecture
/CSCE-421/Ex2/Visual%20Aids/image-36.png)
Figure 12.15 Architecture of a GPT decoder transformer network. Here 'LSM' stands for linear-softmax and denotes a linear transformation whose learnable parameters are shared across the token positions, followed by a softmax activation function. Masking is explained in the text.
Notes:
-
Remember the first layer always needs to be an embedding layer -> converting a large vector into a short vector
-
Remember positional encoding is needed so that attention is equivarient to permutations
-
Remember that we need to modify attention so that every output is a linear combination of the corresponding input vector and all the previous vectors (not the next ones)
-
masked transformer layer:
- Some term used by the book
- But here we used causal transformer layer: in each of these layers we have causal attention
-
Note you take the output vector (each location) and you build a multi-class classifier on top
-
Output:
means the discrete label for -
This is the training process so that you only pass the input sequence of vectors once.
- You have the entire seqeunce and you know the labels for each of the
- You have the entire seqeunce and you know the labels for each of the
-
This is only for a decoder model, but this is by far the most important one.
-
This is the technology overlying modern GenAI models: ChatGPT, Gemini, etc.
- They train the model out of all the words in the internet!
- And they are just wanting to predict the next token!
- Prediction time is not the same as training time
- In prediction time, you want to predict the next, based on previous predictions!
- This means the model can become more and more wrong
- In prediction this is not trivial, just because error will accumulate
- In training time you do not do this, you predict based on the input vectors.
- In prediction time, you want to predict the next, based on previous predictions!
Remember self attention:
- Currently the out vector is a linear combination of the other rows
- Somehow we need to modify the attention coefficient matrix
- You can only apply Softmax to weights that are not 0 in the matrix
- So you cannot do Softmax of the entire row!
Difference between training and generation/inference
- Training: the next token is given, so it is a multi-class prediction problem using cross-entropy loss
- Generation/inference: sample a token based on the computed probability, and use it as input to the network to compute the probability of the next token
- Challenge: during the learning phase, the model is trained on a human-generated input sequence, whereas when it is running generatively, the input sequence is itself generated from the model. This means that the model can drift away from the distribution of sequences seen during training
Sampling strategies during generation/inference I
- The output of a decoder transformer is a probability distribution over values for the next token
- Greedy search: select the token with the highest probability deterministic
- Simply choosing the highest probability token at each stage is not the same as selecting the highest probability sequence of tokens - why?
- Beam search: maintain a set of
hypotheses, each consisting of a sequence of token values up to step - Feed all these sequences through the network, and for each sequence we find the
most probable token values, thereby creating possible hypotheses for the extended sequence - This list is then pruned by selecting the most probable
hypotheses according to the total probability of the extended sequence
Notes:
- All we try to do is to predict the next word, this is basically done by Cross Entropy Loss and then picking the one with the largest probability
- Every time when we make prediction for the next token, we look at the word with the largest probability
- If you do this every time, this is not optimal, because the whole sequence may not have the largest probability, you tried to be greedy at every step but this might not be the most optimal solution
- Every time you pick the word with the largest probability, the whole sequence may not have a largest probability
- Every time you do greedy (you pick what is the most likely next word) that might not actually be the overall most optimal solution, since each time you move one step forward the number of probabilities increases
- There are different ways to handle this but there is no way to guarantee it, that is impossible.
Sampling strategies during generation/inference II
- One problem with approaches such as greedy search and beam search is that they limit the diversity of potential outputs
- Generate successive tokens simply by sampling from the softmax distribution at each step, or sample from top-K
- Introduce a parameter
called temperature into softmax
: the probability mass is concentrated on the most probable state - greedy selection : the unmodified softmax distribution : uniform across all states : the probability is concentrated towards the higher values - If such approaches are used, there is randomness in generation
Notes:
- One way you can do this is something called "Deep Search"
- Basically, every time you pick a top-K possible words among all that you have. Then you move on to the next one.
- It is still deterministic (not really random)
- To introduce some kind of randomness we introduce another parameter T
- For all possible next word, you do a sampling, basically you do a sample of the top-K, this will introduce some kind of randomness
- You introduce a parameter to control the magnitude, it is called temperature
- When T = 1 it is regular softmax, when T is infinity the output would be uniform (everything has the same probability), and when T approaches 0 there is no randomness.
- Remember none of these solutions are optimal, all we try to do is to introduce some kind of randomness to help get a probable better output: none of these are guaranteed!
Encoder transformers: Masked language modeling
- Take sequences as input and produce fixed-length vectors, such as class labels, as output
- An example of such a model is BERT, which stands for bidirectional encoder representations from transformers
- A randomly chosen subset of the tokens, say
, are replaced with a special token denoted 〈 mask 〉 - The model is trained to predict the missing tokens
mask across the river to get to the mask bank.
- The network should predict 'swam' at output node 2 and 'other' at output node 10
- Only two of the outputs contribute to the error function and the other outputs are ignored
- BERT is 'bidirectional', so no need to shift inputs and mask outputs
- An encoder model is unable to generate sequences
Notes:
- Encoder models are mostly useful for research only
- Most people when we talk about GenAI, they are talking about a Decoder model, not an encoder one
- Encoder models do not try to generate anything, it only tries to learn representations
- How this works:
- You have some text, and you want to convert your text into some numeric representation
- Example: If you are given some document you want to predict the document is talking about politics
- Encoder means: given some text, we want to encode it into some fixed representation for that text
- This is very different in language models
- Since you are only given some text (no labels), you need to perform self supervised learning!
- This means that you have some text and you supervise it by yourself
- Example: I ⟨ mask ⟩ across the river to get to the ⟨ mask ⟩ bank.
- The way to do this is to randomly remove some of the words given
- This is really why it is called masked language model
- You replace them with a dummy variable called masked.
- Then you will give the sequence to some transformer blocks
- Then for each of the mask location you will have a loss function, the truce of that loss function is the true label of the word
- Note the label is coming from yourself!
- The most popular model of this category is called BERT
- Where B represents Bi-directional
- Means predict the mask from both directions of the text (left and right)
- If we do this, do we need to do anything to attention so that each of the words will only depend on the previous words?
- No we do not need to, we are just trying to learn the representation
- You are given a network (some attention and transfomer blocks on top of each other) and you are given some sentences
- You only have loss for the mask locations
- Because this is masked out, your representation will not depend on the embedding of that word but you will use everything else to predict that word
- This is popular because 1. obtaining labels is difficult, so this is more general for those cases where you do not have labels available.
Encoder transformer architecture
/CSCE-421/Ex2/Visual%20Aids/image-38.png)
- Note the output is not shifted!
Figure 12.18 Architecture of an encoder transformer model. The boxes labelled 'LSM' denote a linear transformation whose learnable parameters are shared across the token positions, followed by a softmax activation function. The main differences compared to the decoder model are that the input sequence is not shifted to the right, and the 'look ahead' masking matrix is omitted and therefore, within each self-attention layer, every output token can attend to any of the input tokens.
Notes:
- Still decoder is the most popularly used
Sequence-to-sequence transformers
- Consider the task of translating an English sentence into a Dutch sentence
- We can use a decoder model to generate the token sequence corresponding to the Dutch output, token by token
- The main difference is that this output needs to be conditioned on the entire input sequence
- An encoder transformer can be used to map the input token sequence into a suitable internal representation, denote by Z
- To incorporate Z into the generative process, we use cross attention
- The query vectors come from the sequence being generated, in this case the Dutch output sequence, the key and value vectors come from the sequence represented by Z
- The model can be trained using paired input and output sentences
Notes:
- This network is extremely nice but in reality it has been more replaced by the encoder model
- It is mostly used in translation, you want to translate a sentence from one language to another
Comparison of self and cross attention
/CSCE-421/Ex2/Visual%20Aids/image-39.png)
/CSCE-421/Ex2/Visual%20Aids/image-40.png)
Figure 12.19 Schematic illustration of one crossattention layer as used in the decoder section of a sequence-to-sequence transformer. Here
Notes:
- This is the only location where cross attention is used
- Each vector here represents a word in some language, we want to translate that sentence into a different language
- You have a sequence of words (a sequence of vectors), you then encode them into sequences.
- This is basically the encoder layer, for which we can have many layers
- Lets say the first word is a dummy
<start>, how do we generate the next?- The next word should depend on the entire sequence, otherwise this won't be translation, and of course on any sequence generated so far, because this might not even be a valid sentence.
- The next word depends on everything generated so far + the entire encoded sequence.
- This is where cross attention is used, basically you have two sequence of vectors as input, and you produce one sequence of vectors as output
- K and V is from the output of the encoder and Q is from the previously generated sequence
- The next word should depend on the entire sequence, otherwise this won't be translation, and of course on any sequence generated so far, because this might not even be a valid sentence.
- Sadly the decoder model has become so powerful that it has basically replaced this.
Sequence to sequence transformer architecture
/CSCE-421/Ex2/Visual%20Aids/image-41.png)
Figure 12.20 Schematic illustration of a sequence-to-sequence transformer. To keep the diagram uncluttered the input tokens are collectively shown as a single box, and likewise for the output tokens. Positional-encoding vectors are added to the input tokens for both the encoder and decoder sections. Each layer in the encoder corresponds to the structure shown in Figure 12.9, and each cross-attention layer is of the form shown in Figure 12.19.
Notes:
- You take input from your old generated sentences and from the encoder output!
- Right now it is not being used much just because the decoder model is so powerful
Large Language models: Pretraining
- The number of compute operations required to train a state-of-the-art machine learning model has grown exponentially since about 2012 with a doubling time of around 3.4 months
- Increasing the size of the training data set, along with increase in model parameters, leads to improvements in performance
- The impressive increase in performance of the GPT series of models through successive generations has come primarily from an increase in scale
- LLMs are trained by self-supervised learning on very large data sets of text
- A decoder transformer can be trained on token sequences in which each token acts as a labelled target example
- This 'self-labelling' hugely expands the quantity of training data available and therefore allows exploitation of deep neural networks having large numbers of parameters
Notes:
- You have pretty much any data on the internet, you can use that to train your model
- Encoders are still useful because you do not need any labels, you do self supervision
- The whole reason sequence to sequence are not being used a lot is just because prediction (next token prediction) is more powerful, you do not need to train for probabilities to work
...
Large language models: Emerging properties
- As language models have become larger and more powerful, the need for fine-tuning has diminished, with generative language models now able to solve a broad range of tasks simply through text-based interaction
- For example, if a text string
- English: the cat sat on the mat.
- French: is given as the input sequence, an autoregressive language model can generate subsequent tokens representing the French translation
- The model was not trained specifically to do translation but has learned to do so as a result of being trained on a vast corpus of data that includes multiple languages - Emerging properties
Notes:
- Note the model is only trained to do next token generation but it can totally do translation!
- It is capable to do things that we didn't even design it for!
Large language models: Prompting
- The sequence of input tokens given by the user is called a prompt
- By using different prompts, the same trained neural network may be capable of solving a broad range of tasks
- The performance of the model now depends on the form of the prompt, leading to a new field called prompt engineering
- This allows the model to solve new tasks simply by providing some examples within the prompt, without needing to adapt the parameters of the model. This is an example of few-shot learning
/CSCE-421/Ex2/Visual%20Aids/image-42.png)
Notes:
- People have shown that if you give these examples the model performs better
- Few-shot means you give some examples.
- The idea is that the model is already trained, during prediction time, you can give some examples (it will not update the weights), but it will do in-context learning -> model will predict better
- How this works? people have different interpretations.
- AI does not understand physics, it will only do some pattern-matching!